Iklan. Semoga Anda tertarik
Persamaan pangkat adalah suatu persamaan dimana posisi variabel yang harus dipecahkan terletak dalam pangkat. Persamaan pangkat terdiri dari dua macam yaitu Persamaan pangkat sederhana dan Persamaan pangkat tidak sederhana. Dalam postingan ini akan dibahas persamaan pangkat sederhana.
Persamaan pangkat sederhana adalah suatu persamaan yang ruas kiri dan ruas kanannya terdiri dari satu bilangan real yang salah satu atau keduanya mempunyai pangkat yang mengandung variabel yang berbentuk sebagai berikut
atau
Langkah-langkah penyelesaian persamaan pangkat sederhana adalah sebagai berikut:
1. Ubah $m$ dan $n$ menjadi bilangan berpakat dengan basis yang sama misalnya $m=a^p$ dan $n=a^q$ sehingga persamaan menjadi
atau
2. Nilai variabel ditemukan dengan memecahkan persamaan $pf(x)=q$ atau $pf(x)=qg(x)$.
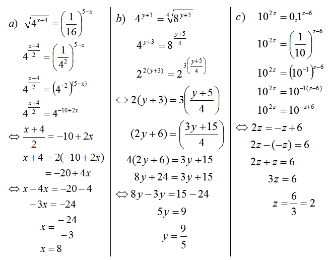
Contoh 1. Tentukan nilai variabel pada persamaan pangkat berikut
jawab:
Contoh 2. Tentukan nilai variabel pada persamaan pangkat berikut
Iklan. semoga Anda tertarik
1. Ubah $m$ dan $n$ menjadi bilangan berpakat dengan basis yang sama misalnya $m=a^p$ dan $n=a^q$ sehingga persamaan menjadi
$a^{pf(x)} =a^{q}$ (lihat contoh 1)
atau
$a^{pf(x)}=a^{qg(x)}$ (lihat contoh 2)
2. Nilai variabel ditemukan dengan memecahkan persamaan $pf(x)=q$ atau $pf(x)=qg(x)$.
Contoh 1. Tentukan nilai variabel pada persamaan pangkat berikut
jawab:
Contoh 2. Tentukan nilai variabel pada persamaan pangkat berikut
Jawab:
Iklan. semoga Anda tertarik





No comments:
Post a Comment